S362
25th European Congress of Psychiatry / European Psychiatry 41S (2017) S303–S364
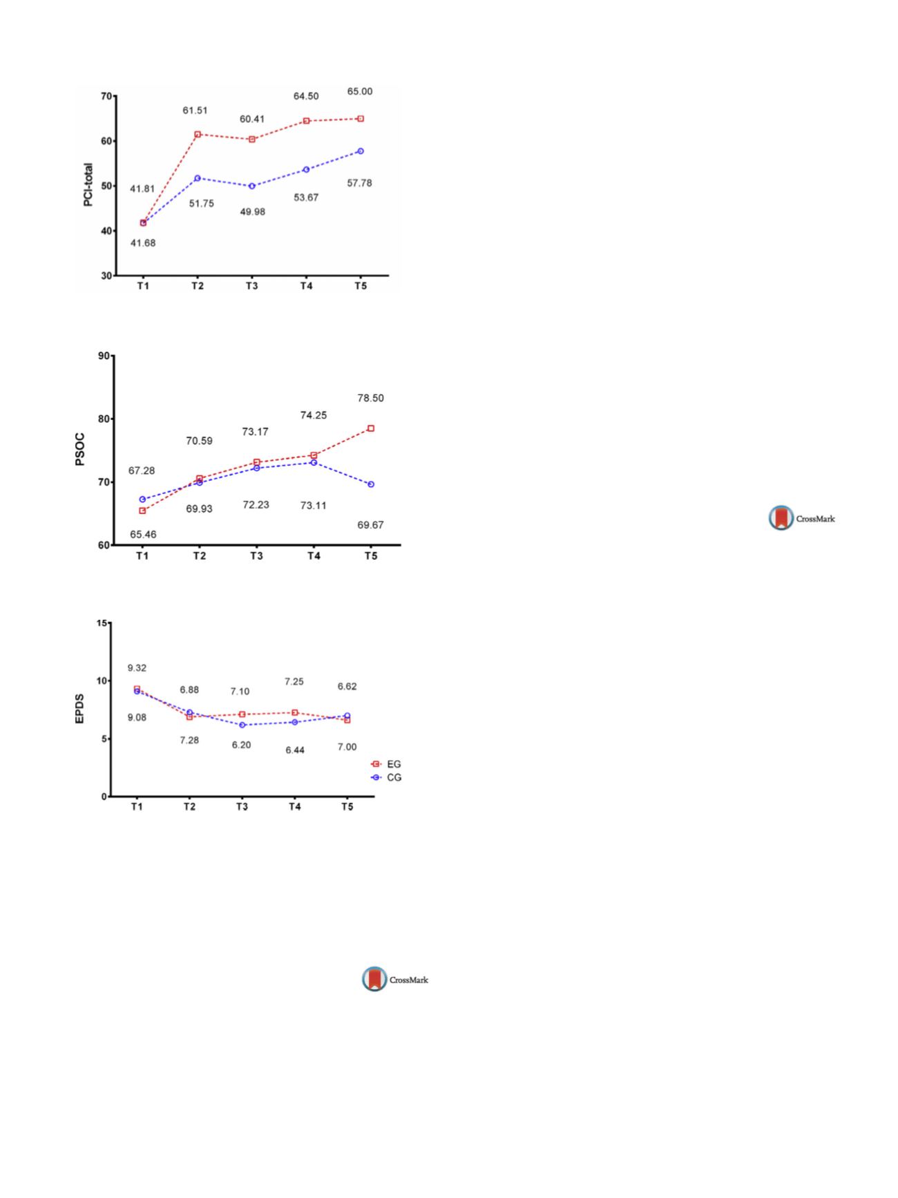
Fig. 1
Fig. 2
Fig. 3
Disclosure of interest
The authors have not supplied their decla-
ration of competing interest.
http://dx.doi.org/10.1016/j.eurpsy.2017.02.359EW0746
Prevalence and risk factors of
postpartum depression
R. F Cherif
∗
, I. Feki , R. Sellami , D. Trigui , I. Baâti , J. Masmoudi
CHU Hédi Chaker Sfax, psychiatrie A, Sfax, Tunisia
∗
Corresponding author.
Introduction
Childbirth represents for women a time of vulne-
rability to postpartum mood disorders. These disorders range in
severity from the early maternal blues to postpartum psychosis.
Along this spectrum is postpartum depression (PPD) that may have
many risk factors.
Objectives
The study aims to examine the prevalence of PPD and
associated risk factors among a sample of Tunisian women recei-
ving cares in the hospital of Sfax.
Methods
This is a descriptive cross-sectional study regarding 150
parturients examined during the first and the sixth week post-
delivery. The EPDS (Edinburghpostnatal depression scale)was used
to assess PPD.
Results
The total sample had a mean age of 29.61 years. During
the sixth week study period, 126 of 150 were examined. Almost all
of the women have a low school level (82.7%). Only 9.3% had a per-
sonal psychiatric history. Multiparity was found in 43.3% of cases.
The current pregnancy was undesired in 15.3% of cases. Sympa-
thetic signs of pregnancy were reported by 64.7% of women. The
prevalence of PPD in the first week was 14.7% and 19.8% in the sixth
week after delivery. The PPD was associated with the maternal age
(> 35 years), the low school level, the existence of mood personal
background, the parity, the difficulty to accept the pregnancy and
sympathetic signs of pregnancy.
Conclusion
Postpartum depression is common on our sample.
Identifying risk factors of PPD allows clinicians to detect subgroups
of women with an increased vulnerability who might receive early
psychiatric care.
Disclosure of interest
The authors have not supplied their decla-
ration of competing interest.
http://dx.doi.org/10.1016/j.eurpsy.2017.02.360EW0747
The impact of harassment and
discrimination on the mental health
of lesbian, gay and bisexual people
H. Pereira
University of Beira interior, psychology and education, Covilhã,
Portugal
Introduction
Despite growing acceptance of same-sex sexuality
in the Western World, identity development of lesbian, gay and
bisexual (LGB) individuals is still restricted by negative societal
attitudes, whichmaintain the experience of stigmatization and dis-
crimination.
Objectives
The purpose of this study was to document the fre-
quency of discriminatory events experienced by sexual minorities
and their association with indicators of mental health in a Portu-
guese self-identified LGB sample.
Aims
To determine the association of harassment and discrimi-
nation with levels of mental health, and to establish a predictive
relation between these variables.
Methods
A total of 610 LGB participants completed an online sur-
vey (mean age = 34.48, SD = 11.54). Most participants were single
and self-identified as gay (73.8%). The survey included the follo-
wing categories of survey items: demographic information, mental
health, and discrimination experiences. Mental health was mea-
sured using the subscale of Emotional Wellness from the SF-36
questionnaire and the K10 questionnaire.
Results
Between one-fifth and one-fourth of the participants in
this sample frequently felt the need to hide their sexual orienta-
tion to prevent discrimination experiences. Close to 20% reported
having suffered from verbal abuse, followed by close to 10% who
suffered from written threats, harassment, and physical threats. A
hierarchical multiple regression analysis was performed to assess
the effects of anticipated and actual discrimination on mental
health. The analysis explained 17% of the overall variance.
Conclusions
Stigma/discrimination create discriminatory expe-
riences which impact LGB people’s mental health.
Disclosure of interest
The author has not supplied his declaration
of competing interest.
http://dx.doi.org/10.1016/j.eurpsy.2017.02.361




