25th European Congress of Psychiatry / European Psychiatry 41S (2017) S405–S464
S413
discussed howmindfulness based cognitive therapy can be used as
an intervention to disrupt this feedback.
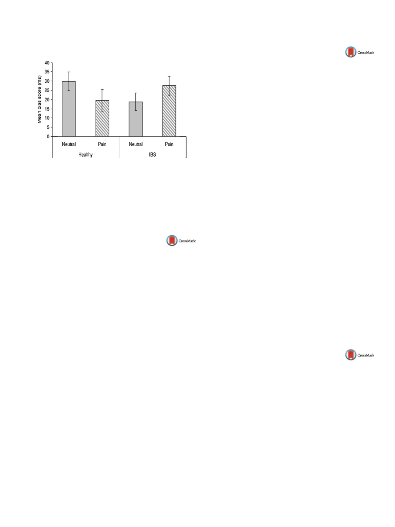
Fig. 1
Attentional bias in IBS and healthy groups with pain and
neutral stimuli. Target in the same (valid) or different (invalid)
position as the cue, bias = (RT invalid
−
RT valid).
Disclosure of interest
The authors have not supplied their decla-
ration of competing interest.
http://dx.doi.org/10.1016/j.eurpsy.2017.01.354EV0026
Conversion disorder: Unexplained
symptoms of silenced emotions?
C.P. Martins
1 ,∗
, S. Carvalho
1, F. Silva
2, H.S. Almeida
11
Hospital de Magalhães Lemos, Service B, Porto, Portugal
2
Hospital de Magalhães Lemos, Service C, Porto, Portugal
∗
Corresponding author.
Introduction
Conversion disorder is a condition defined by the
presence of symptoms of altered voluntary motor or sensory func-
tion, not intentionally produced or feigned, presumed to be the
expression of a psychological conflict or stressor, but mimicking
neurological diseases or other medical conditions, that must be
excluded before this diagnosis is made. The suspicion of conversion
disorder arises when clinical findings are incompatible with the
suggested neurological or medical conditions and there is a tempo-
ral relation between the onset of the symptoms and a psychological
stressor. However, when these hints are absent, diagnosis may not
be clear and require wider workup.
Objectives/aims
To make a brief review on conversion disorder
and present an illustrative clinical-vignette.
Methods
We collected information from medical records and
interview with the patient and made a research on PubMed with
the MeSH terms “conversion disorder”.
Results
We present a 51-years-old female outpatient with
episodes of paralysis of left upper and lower limbs. Some months
before the onset of these symptoms, her daughter came to live with
her. Their relationship became very conflictual. Electroencephalo-
gram, laboratory and imaging studies were normal. She did not
tolerate the antidepressants tried (SSRI, SNRI and trazodone), but
reported to feel better with amisulpride and alprazolam.
Conclusions
Widely discussed in the past as “hysteria”, conver-
sion disorder is still intriguing, because little is known about the
link between body and mind, making the management of patients
with this disorder challenging and highlighting the need for more
studies on the topic.
Disclosure of interest
The authors have not supplied their decla-
ration of competing interest.
http://dx.doi.org/10.1016/j.eurpsy.2017.01.355EV0027
Diagnosis of generalized anxiety
disorder in Russia: The results of a
web-based survey of psychiatrists
I. Martynikhin
1 ,∗
, N. Neznanov
1, S. Mosolov
21
Pavlov First Saint Petersburg State Medical University, Psychiatry
and Narcology, St-Petersburg, Russia
2
Moscow Research Institute of Psychiatry, Serbsky State Medical
Research Center of Psychiatry and Narcology, Department of
Pharmacotherapy, Moscow, Russia
∗
Corresponding author.
Introduction
There is a lack of attention on generalized anxiety
disorder (GAD) in the psychiatrists’ education programs in Russia.
The consequence of this is difficult to estimate because of insuffi-
ciency of the GAD epidemiology in Russia.
Objectives
Are estimation of the comparative prevalence of
diagnosis of GAD among other anxiety and stress related disor-
ders; psychiatrists’ knowledge about GAD and theirs therapeutic
approaches.
Methods
The invitations to survey were sent by e-mail to mem-
bers of the Russian Society of Psychiatrists; 888 psychiatrists took
part in the survey. Twenty-six percent of themworked in inpatient
departments, 43% – in outpatient departments, 15% – in somatic
services, 17% – researchers and university professors.
Results
A total of 83% of respondents have diagnosed GAD at least
once during last year. Most often GAD was diagnosed by psychia-
trists of somatic services. Mixed anxiety and depressive disorder
was diagnosed in 2.5 times more often than GAD; adjustment dis-
orders – in 2.1 times. Doctors have noted that among their patients
with other mental disorders 26% have chronic anxiety, but most of
doctors do not establish the comorbid diagnosis of GAD for these
patients. Only a quarter of doctors consider that detachment of GAD
from other anxiety disorders is based on the features of etiology
and pathogenesis. In the treatment of GAD together with SSRIs,
SNRIs, and pregabalin prescribing, doctors often prescribe ben-
zodiazepines, atypical anxiolytics (hydroxyzine, buspirone) and
low-potency antipsychotics (alimemazine, chlorprothixene).
Conclusions
Increasing attention toGAD in the psychiatrists’ edu-
cation programs may improve diagnosis and treatment of this
disorder in Russia.
Disclosure of interest
The authors have not supplied their decla-
ration of competing interest.
http://dx.doi.org/10.1016/j.eurpsy.2017.01.356EV0028
Deep brain stimulation – Is there hope
for obsessive compulsive disorder?
A. Batista
1, J. Melim
1 ,∗
, J. Nunes
2, A.R. Carvalho
3, M. Duarte
1,
J. Maia
11
Centro Hospitalar de Leiria, Psychiatry and Mental Health, Leiria,
Portugal
2
Hospital Sousa Martins, Unidade Local Saúde Guarda, Psychiatry
and Mental Health, Guarda, Portugal
3
Hospital Beatriz Angelo, Psychiatry and Mental Health, Loures,
Portugal
∗
Corresponding author.
Introduction
Deep brain stimulation (DBS) is a neurosurgical
procedure under investigation for a range of psychiatric and neu-
rological disorders. One of them is obsessive compulsive disorder
(OCD), which is a neuropsychiatric illness that often develops in
childhood, affects 2% of the general population and causes signifi-
cant impairment across the lifespan. Some cases are refractory to
pharmacotherapy and psychotherapy and that is why new treat-
ments have been investigated over the last decades.
Objectives/aims
In this paper, we intent to do a review of the
literature about the efficacy of DBS in the treatment of OCD.




