25th European Congress of Psychiatry / European Psychiatry 41S (2017) S583–S644
S635
EV0711
The relationship between
responsiveness to social and monetary
rewards and ADHD symptoms
B. Sutcubasi Kaya
1 ,∗
, B. Metin
1, F.Z. Krzan
1, N. Tarhan
2, C. Tas
11
Uskudar University, psychology, Istanbul, Turkey
2
Uskudar University, Psychiatry, Istanbul, Turkey
∗
Corresponding author.
Introduction
Alterations in reward processing are frequently
reported in ADHD. One important factor that affects reward
processing is the quality of reward, as social andmonetary, rewards
are processed by different neural networks. However, effect of
reward type on reward processing in ADHD was not extensively
studied.
Aims
We aimed to explore the effect of reward type (i.e., social
or monetary) on different phases of reward processing and also to
test the hypothesis that ADHD symptoms may be associated with
a problem in processing of social rewards.
Methods
We recorded event-related potentials (ERPs) during
a spatial attention paradigm in which cues heralded availabil-
ity and type of the upcoming reward and feedbacks informed
about the reward earned. Thirty-nine (19 males and 20 females)
healthy individuals (age range: 19–27) participated in the study.
ADHD symptoms were measured using ADHD self-report scale
(ASRS).
Results
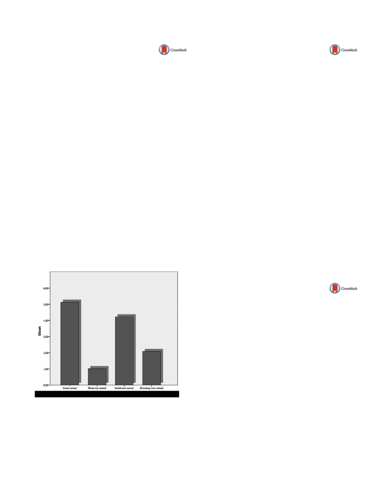
The feedback related potentials, namely feedback related
negativity (FRN), P200 and P300 amplitudes, were larger for social
rewards compared to monetary rewards
( Fig. 1 ).There was a con-
sistent negative correlation between the hyperactivity subscale of
ASRS and almost all feedback related ERPs. ERP amplitudes after
social rewards were smaller for individuals with more hyperactiv-
ity.
Conclusions
Our findings suggest that hypo responsiveness to
social rewards may be associated with hyperactivity. However, the
results have to be confirmed with clinical populations.
Fig. 1
FRN amplitudes.
Disclosure of interest
The authors have not supplied their decla-
ration of competing interest.
http://dx.doi.org/10.1016/j.eurpsy.2017.01.1041EV0712
The differential effect of event rate on
pupil dilation patterns suggests effort
dysregulation problems in ADHD
B. Metin
1 ,∗
, E. Sonuga-Barke
2, J.R. Wiersema
2, H. Roeyers
2,
S. Vermeir
21
Uskudar University, Psychology, Istanbul, Turkey
2
Ghent University, Psychology, Ghent, Belgium
∗
Corresponding author.
Introduction
The state regulation model postulates that ADHD
performance difficulties result from failures to regulate activation
states in response to changing environmental conditions – produc-
ing poor performance under sub-optimal conditions. Behavioral
and electrophysiological studies involving the manipulation of
event rate (ER) lend support to this idea.
Aim
In this preliminary study, we extended this investigation by
comparing pupil dilation, an established marker of cognitive effort
allocation, in individuals with ADHD, and controls, in response to
varying ERs on a simple cognitive task.
Methods
Nineteen children with ADHD (age range: 8–14 years)
and 21 controls (age range: 10–16 years) completed a target detec-
tion task under three different ERs (1300, 4000, and 8000 msec).
Pupil dilation was monitored using an eye-tracker.
Results
Our results show that for controls, pupil dilation to tar-
gets varied as a function of ER according to a “U” function –with fast
and slow ERs inducing greater phasic dilation than the moderate
ER. However, for children with ADHD the relationship was linear
with dilation increasing as ER decreased.
Conclusions
The results provide the first pupillary evidence sug-
gestive of effort allocation dysregulation in ADHD especially under
fast event rate conditions. Future studies should explore interven-
tions to overcome effort allocation problems.
Disclosure of interest
The authors have not supplied their decla-
ration of competing interest.
http://dx.doi.org/10.1016/j.eurpsy.2017.01.1042EV0713
Interrelationships between cortisol,
cognition and dementia: A review of
the literature and new own findings
S. Ouanes
∗
, P. Julius
University Hospital of Lausanne, Department of Psychiatry,
Lausanne, Switzerland
∗
Corresponding author.
Introduction
Cortisol exerts effects on the brain via two different
receptors, producing complex and sometimes opposite effects on
the brain structures involvedwith the different cognitive functions.
Objective
To scrutinize the interrelationships between cortisol,
cognition and dementia.
Methods
Review of the literature and new own findings.
Results
Animal and clinical studies showed an association
between increased cortisol and poorer overall cognitive perfor-
mance, declarative memory, language, processing speed, executive
functioning, spatialmemory, aswell as socialmemory. High cortisol
may exhibit neurotoxic effects on the hippocampus, and exacer-
bate oxidative injury and amyloid peptide toxicity. Increased
CSF cortisol levels have been found in subjects with dementia and
Mild Cognitive Impairment (MCI) due to Alzheimer’s disease (AD)
compared to control subjects with normal cognition. In MCI due
to AD, high CSF cortisol may also predict a more rapid cognitive
decline. Higher cortisol levels have been also observed in delirium.
Increased cortisol levels interact with inflammatory mediators,
neurotransmitters, and growth factors, andmaymediate the effects
of depression, stressful life events, and personality traits, sleep dis-
turbances, and cardiovascular risk factor on cognitive performance
and cognitive decline.




