25th European Congress of Psychiatry / European Psychiatry 41S (2017) S772–S846
S841
EV1330
“Pseudoneurotic Schizophrenia”
Revisited: The role of
obsessive-compulsive symptoms in
low-level disorganization
psychosishosiser
M. Tonna
∗
, R. Ottoni , F. Paglia , C. De Panfilis , C. marchesi
University of Parma, Neuroscience, Parma, Italy
∗
Corresponding author.
Objective
Recent research has suggested a dual impact of
obsessive-compulsive dimension on functioning in schizophrenia
with a gradual transition from an improving to a worsening effect
depending on obsessive-compulsive symptom(OCS) severity (from
mild to moderate-severe). Aim of the present study was to inves-
tigate whether this varying effect of OCS on functioning might be
mediated or moderated by schizophrenia symptom dimensions or
occur independently.
Method
Seventy-five patients affected by schizophrenia were
administered the SCID-IV, the PANSS, the YBOCS and the SOFAS.
The sample was divided into two groups according to the severity
of OCS (absent/mild and moderate/high).
Results
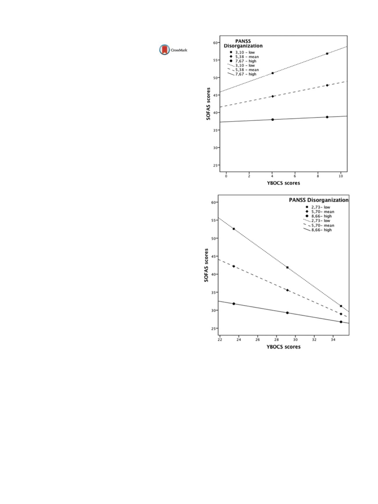
In both groups, a significant interaction between OCS and
disorganization dimension was found: the dual effect of OCS on
functioning occurred only among patients with low disorganiza-
tion symptoms while it was no more apparent at higher levels of
disorganization
( Figure 1 ).Conclusion
Data suggest that in patients with schizophrenia,
functioning at least in part depends on the interaction between
disorganization and OCS. Particularly, mild OCS contributes to
higher levels of functioning in patients with psychosis at low
levels of disorganization. In keeping with the historical concept
of “pseudoneurotic schizophrenia”, we speculate that obsessive
dimension might have a pathoplastic influence in milder forms of
schizophrenia spectrum disorders, balancing the effect of underly-
ing low disorganization symptoms.
Fig. 1
Disclosure of interest
The authors have not supplied their decla-
ration of competing interest.
http://dx.doi.org/10.1016/j.eurpsy.2017.01.1660




